衛星は惑星を中心にしてほぼ円運動を行っているはず、である。 円運動をしていることを時間の経過で確かめると、三角関数として、 表すことができる。 円から三角関数が出てくるのはなぜ
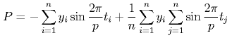
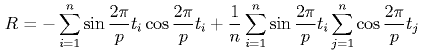
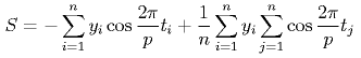
三角関数は、正弦関数 sin と余弦関数 cos から成るので、 定数 a, b, c とおくと、sin と cos の線形結合に任意の定数 c があるような形

とかける。今、衛星の周期 p, 測定基準日 (例えば 200X 年 1 月 1 日の UTC+0000 時) を t_0, 衛星の軌道半径 r とおくと自分の調べたデータ (t_i, y_i) は

の上に乗っていれば、よい。
きちんと調べると、







