分子運動と気体の状態方程式の関係

理想気体であるので、1{\rm [mol]} あるときには必ず 1 アボガドロ数(N_A[個]) 入っている。理想気体の状態方程式から、

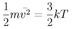
RT = \frac{2}{3}N_A\frac{1}{2}m\bar{v^2} と書ける。分子 1 個当たりの気体定数をボルツマン定数と書いたので

k = \frac{R}{N_A}と、ボルツマン定数をこのようにあらわすことができる。

\frac{1}{2}m\bar{v^2} = \frac{3}{2} k T

と書ける。

.