分子運動と気体の状態方程式の関係

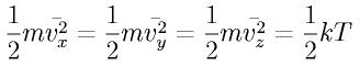
等分配を仮定していたことより、

\frac{1}{2}m\bar{v_x^2} = \frac{1}{2}m\bar{v_y^2} = 
\frac{1}{2}m\bar{v_z^2} = \frac{1}{2}kT

と書ける。

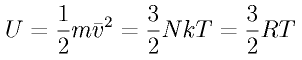
理想気体の内部エネルギー U は、 個々の分子の運動エネルギーを足しあわせたものと考えてよい。

U = \frac{1}{2}m{\bar v^2} = \frac{3}{2}N k T
= \frac{3}{2}R T

二原子分子でも同様。

理想気体では、内部エネルギーが 絶対温度T だけの関数となる。

.